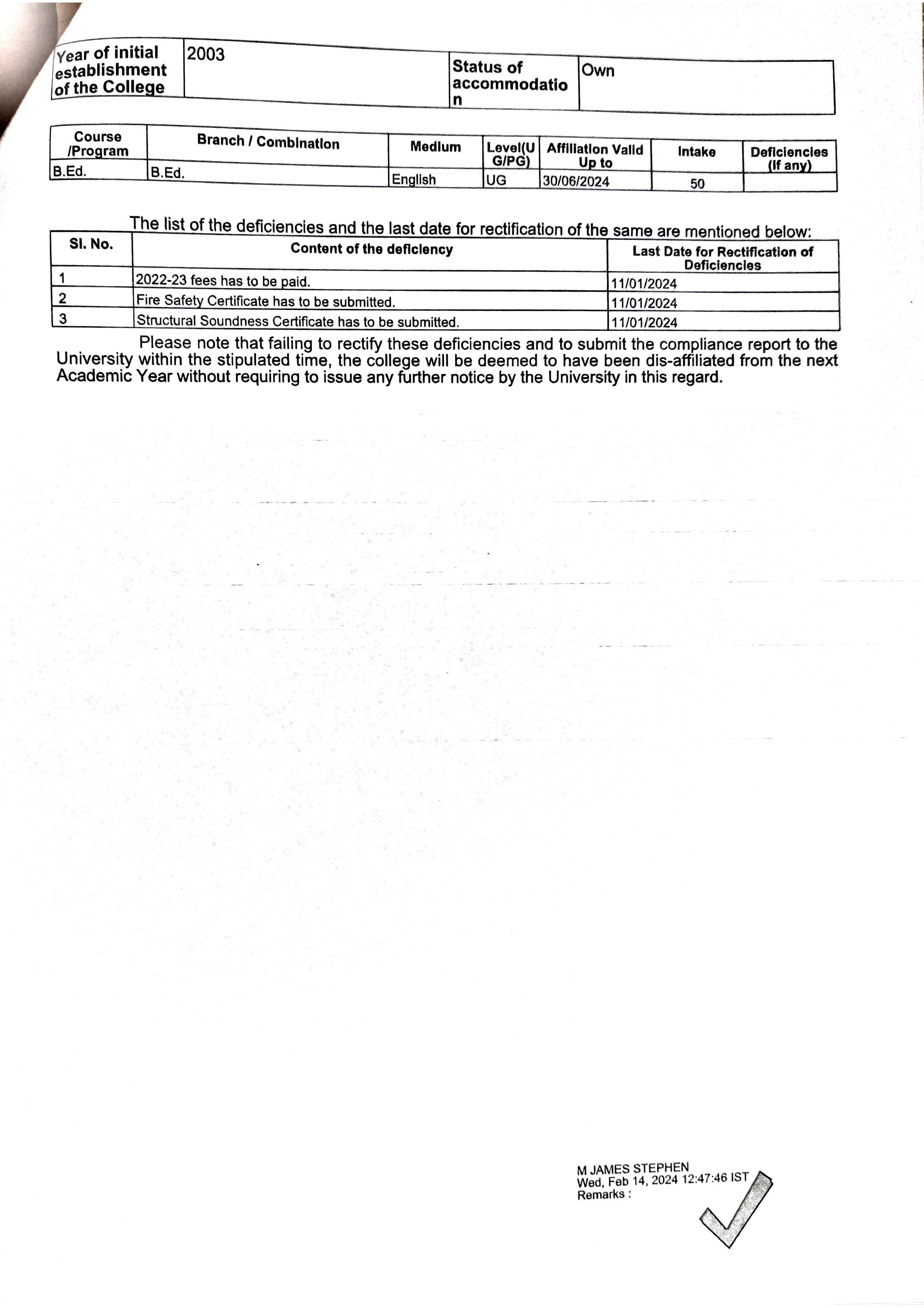
Teach to touch the future — A Journey of Knowledge, A Path to Purpose.

AFFILIATION